가. 계기용변압기(PT)의 기본원리
계기용변압기는 600V이상의 고전압은 직접측정 할 수 없으므로 이를 적당한 계측전압으로 변성하는 것이다. 원리적으로는 소형 변압기 구조의 유도형 변압방식, 저항 분배방식 및 콘덴서 분압 방식이 사용되고 있으며, 구조적으로는 건식, 가스 봉입식, 유입 식 등이 있다.
저항 분배방식은 주로 실험실용으로만 사용되며, 실제 발변전소 에서의 600V~66kV전압은 유도형 계기용변압기가 사용되고, 66kV이상의 전압에서는 유도형과 콘덴서분압형의 계기용변압기 가 사용되고 있다.
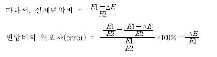
그림은 유도형 계기용변압기의 기본 원리도로서 무부하시 1차측 권선의 자화전류에 의한 전압강하를 무시하면 다음과 같 은 변압기 특성을 나타낸다.

무부하로부터 최대전압강하가 생길때까지 부하가 걸리면 부하전 류에 비례하여 1차측 및 2차측 권선에 전압강하가 발생하며, 따 라서 출력전압은 다음과 같이 I0에 의한 일정한 양(I0Z1)과 부하 전류에 비례하는 양에 의한 전압강하분 만큼 감소하게 된다.
I0에 의한 전압강하 : I0Z1
I1에 의한 전압강하 : I1Z1
I2에 의한 전압강하 : I2Z2
전체 전압강하는 이것들을 벡터적으로 더하는 것으로
ΔE = I0Z2 + I1Z1 + I2N2이다.

나. 계기용변압기(PT)의 형식
(1) 유도형(권선형) 계기용변압기
ㅇ 비접지형 계기용변압기
일반적으로 그림 3-10(a)와 같이 교류회로의 선간전압계측용 으로 사용되며,
∙단상×1대 : 단상용
∙단상×2대 : 3상V결선용
∙단상×3대 : 3상Y 및 Δ결선용으로 사용된다.
ㅇ 접지형 계기용변압기
접지형 계기용변압기는 그림 3-10(b)와 같이 전로 ↔ 대지간 의 전압계측용으로 사용되고,
∙단상×3대 : 3상Y(1차:Y, 2차:Y)결선 또는 접지 검출용 V결 선등에 사용된다.
또한 전로의 중성점 ~ 대지전위간 접지 검출용으로도 사용된다.
(2) 콘덴서형 계기용변압기
그림 3-11는 콘덴서형 전위 변성기의 원리도이다. 고전압을 직 접 권선형 계기용변압기로 변성하면 대형이며 고가로 되기 때문에 먼저 콘덴서의 조합으로 고전압을 분압하고 이 분압전압 을 권선형 계기용변압기로 다시 강압하여 2차나 3차 전압을 110/√3 또는 110/3V로 하여 사용한다.
이 경우에 콘덴서의 분압전압을 사용하기 위해 2차회로의 부 담(부하)이 변화하면 2차측 전압(E2)이 변하기 때문에

ㅇ 보호 지역용 계기용변압기
그림 3-11(a)는 보호 지역용 계기용변압기로서 피뢰기에 의 하여 항상 보호된 지역에서만 사용하는 콘덴서형 계기용변압기 이다.
ㅇ 비보호 지역용 계기용변압기
그림 비보호 지역용 계기용변압기로서 피뢰기에 의하여 항상 보호할 수 없는 지역에서 사용하는 콘덴서형 계 기용 변압기이다.
![]() |
| 단상 권선형 계기용변압기 원리도 |
![]() |
| 콘덴서형 전위 변성기 원리도 |
다. 계기용변압기의 선정
전기설비 설계에서 계기와 보호계전기 설비를 설계하기 위해 계 기용변성기의 정확한 선정이 반드시 요구된다. 즉, 사용목적, 사 용장소, 회로전압, 계기 및 계전기의 종별, 2차부담 등의 사항을 고려하여 적절한 시방을 결정해야 한다.
(1) 사용목적
계기용변압기의 사용목적에 따라 계기와 보호계전기에 사용하 는 일반용과 전력 수급(MOF)으로 대별한다.
(2) 최고 회로전압
계기용변압기의 최고회로 전압은 사용하려는 회로 변압기의 최 고 탭전압 또는 공칭 전압의 1.05~1.1배로 하여 적용규격을 참 조하여 결정한다.
(3) 정격전압
정격 1차전압은 설치 회로의 정격전압, 정격 2차전압은 110V 또는 110/√3V, 110/3V를 표준으로 한다. 만일 계기용변압기가 3상 계통의 전압에서 Line과 Earth간에 접속된다면, Line과 Neutal(중성점)간의 전압이 정격전압이 되며, 이는 접지사고 검출용 권선을 제외하고 V(선간전압)/√3으로 한다.
(4) 계기용변압기의 형식
사용목적, 회로전압, 설치장소, 등에 따라 계기용변압기의 형식 을 결정한다.
(5) 계기용변압기의 정확도(오차) 계급
오차구분을 말하는 것으로 사용목적에 따라 측정을 위한 계급 과 보호목적에 따른 계급으로 구분된다. 2차 부담에 따라 표의 각종 규격별 오차계급과 한계를 참조하여 정확한 계급을 선정 한다. 일반적으로 정격부담이 커지면 오차가 증가하는 경향을 가진다. IEC 186의 계기용 오차는
ㅇ정격전압의 80% ~ 120% ,정격부담의 25% ~ 100%
2개 이상의 2차측 권선을 가지는 PT에서 자신의 철심에 여러 개의 2차측 권선을 가지므로 상호 종속적인 관계를 가지고 있 으며, 이에 따라 PT 1차권선에서의 전압강하는 모든 2차측 권 선의 전체 부하전류에 비례하여 나타난다. 그러므로 측정과 보 호회로는 상호 무관하게 독립적으로 측정될 수 없음에 유의하 여 부담과 오차계급을 어떻게 적용할 것인지 분명하게 정하여 야 한다.
ㅇ한 개의 권선에만 적용하고 다른 권선은 무부하로 정하는 방법
ㅇ동시에 각 권선에 부하를 인가하는 방법
PT의 열적부담은 허용온도 상승치를 초과하지 않고 공급할 수 있는 최대 출력을 말한다.
라. 계기용변압기의 특성과 이상현상
(1) 계기용변압기의 특성고, 임피던스는 작아지는 점이 CT와의 다른 점이다. 보통 PT 는 부하의 임피던스가 크며, 2차전류는 작아서 오차에 큰 영향 을 미치지 않는다.
(가) PT가 일반변압기와 다른점
① 정확한 변압비를 얻기위한 권선감기를 한다.
② 특성계산시 여자전류는 생략 가능하다.
③ 1,2차 전압비가 크며 용량은 대단히 적다.
④ 오차가 문제시되며 온도상승은 낮다.
(나) PT와 CT와의 차이
① CT의 경우 여자전류가 오차의 직접적 원인이지만, PT는 아니다.
② 부하변동에 대해 CT는 2차전류가 거의 일정하고 2차전압 이 변화하는 것에 비해 PT는 1,2차 전류가 변화하여 전압 은 비오차분만이 변한다.
③ CT의 1차는 선로에 직력 접속되지만, PT는 병렬로 접속 된다.
④ 고압회로용 CT는 대지절연이 중요하지만, PT는 대지 및 선간(권선간) 절연도 중요하다.
(2) 접지형 PT의 이상현상
비접지 계통에 접지형 PT를 사용할 때 이 PT가 무부하이거나 개로시 또는 1선 지락의 경우에는 계통의 중성점이 진동하고 조건이 악화되어 연속적인 진동이 되면 과전압을 발생하기도 한다. 이 현상은 자기포화로 인해 PT의 1차권선이 리액턴스로 되어 임피던스가 저하하여 대지정전용량과 철손 공진현상을 일 으키는 것 때문에 발생한다. 이로 인해 대지전압이 정상값의 수배로 커지고, 절연에 해를 끼치며, 지시오차를 크게하고 지락 계전기를 오동작 시키기도 한다. 또한 이상과전류로 인해 퓨즈 가 용단되어 영구적인 경우가 되면 철손의 증대로 소손되기도 한다. 즉, 정상시는 큰 임피던스를 가지는 접지형 PT의 1차코일은 2차가 무부하이고 철심이 포화하는 경우, 임피던스가 대 단히 적어지고 대지전압이 크게 상승하게 된다.
이 현상의 방지책으로는
① PT의 자속밀도를 낮게 설계한다.
② 선로에 대지정전용량을 부가하여 공진조건을 없앤다.
③ 2차측에 고정부하를 접속하여 놓는다
마. 계기용변압기(PT) 취급시 주의사항
계기용변성기는 전압 감시, 적산전력, 보호계전에 중요한 전압신 호 변성기로서 이들의 선정과 취급에 충분한 주의가 요구된다.
① PT의 2차 정격 부담은 2차 회로 부담을 산정한 후 적정 용량 [VA]을 선정한다.
② PT의 2차회로의 접지상에는 퓨즈를 넣지 말아야 한다.
③ PT 2차회로는 지락, 단락 등이 발생하지 않도록 주의해야 한다.
④ PT 1차측 퓨즈 PT의 단락 보호용으로 설치되어 있지만,
PT의 2차측 회로 단락시에는 용단되지 않는 경우가 있으므 로 PT의 과열, 소손에 충분한 주의를 기울여야 한다.
⑤ PT는 1차, 2차 회로에 퓨즈가 있어 접촉 불량이나 부식 등 에 의해 이것이 단선되는 경우가 있으므로 이를 방지할 수 있는 구조를 선정 한다.
⑥ 부족전압 트립회로가 있는 설비에서는 부족 전압 계전기를 2개로 하고 각상을 조합하여 오동작 트립이 발생하지 않도 록 해야 한다.
바. 계기용변성기와 계전기의 접속
(1) 과전류(OCR), 과전류지락계전기(OCGR)의 접속
(가) Y-결선
가장 많이 쓰이는 결선법으로서, 잔류회로에는 각 상전류의 벡터합이 GM르는데 영상전류의 3배가 된다. 즉 Ia + Ib + Ic = 3I0 잔류회로에서 CT의 2차측을 접지하는 것은 회로전위를 안 정시키기 위한 것으로 반드시 한곳만을 접지하여야 한다.
![]() |
| CT의 Y-결선 |
![]() |
| CT의 V-결선 |
(나) V-결선
6.6kV(비접지 선로) 배전선에서 CT 2개를 써서 아래와 같이 V-결선을 하고, 과전류 계전기 OCR을 2개 사용하는 경우가 있다. 이 경우 공통회로에서 Ib = -( Ia + Ic )로 B상 전류가 흐른다.
(다) Δ-결선
Δ-결선은 2가지 방법이 있으며, 계전기 전류는 결선에 따라 30°진상, 30°지상인 전류를 얻을 수 있다. 계전기 입력 전류는 상전류의 √3배가 되며, 어느 결선이나 영상전류는 Δ내에서 순환하고 계전기 전류로 나타나지 않는다.
![]() |
| CT의 Δ결선 |
(라) 3차 영상분로
3차 권선부 CT의 결선에서 2차 권선회로에는 잔류회로가 없으 므로 (상전류) - (영상전류)인 전류가 흐르고, 3차 회로에는 영 상전류가 흐른다.
고저항 접지계통에서 변류비가 큰 CT를 쓰면 잔류전류에서 영상전류를 얻는 방법인 때는 지락 과전류 계전기를 동작시 킬만큼의 충분한 전류를 얻을 수 없으므로, 변류비가 적은 3 차 권선을 가지는 CT를 사용하여야 한다. 그리고 2차 잔류회 로에는 3I0의 전류가 흐르지만, 3차 영상분로에는 I0의 전류가 흐르는 점에 유의하여야 한다.
한편, CT의 전류 흐름을 파악하는 것은 계전기 동작해석에서 매우 중요한 것으로서, CT와 계전기의 전류 흐름은 아래 사항 을 기초로 하여 화살표로 나타낸 것과 같이 흐르게 된다.
① 전류의 연속 조건으로, 즉 전류흐름은 Loop(폐회로망)가 되어 야 한다.
② 암페어턴(Ampare Turn)의 상쇄, 즉 1차측 코일에 전류가
흐르려면 2차측(또는 3차측과 합해서) 코일에 동일한 AT 의 상쇄전류가 흘러야 한다.
③ 그림 3-15에서 A상에는 2차나 3차전류를 상쇄하는 전류가
흐른다.
CT 2차 회로 결선에서 전류의 연속을 이루려면 A상 전류가 B, C상으로 분류되어야 한다.
B상, C상 CT에서 2차 권선과 3차 권선에 전류가 흐른다면 역 방향 전류로서 상쇄되어야 전체 AT가 0로 된다.
![]() |
| 3차 권선부 CT 결선 |
'전기,철도 기술자료 > 전기이론' 카테고리의 다른 글
| 계기용변성기 시험 (0) | 2025.10.31 |
|---|---|
| 보호계전기 (1) | 2025.10.31 |
| 계기용변류기 (0) | 2025.10.31 |
| 계기용변성기 (0) | 2025.10.31 |
| 보호계전기 동작시 연동경로 (0) | 2025.10.31 |






